当下,在焊接加工行业中,弯管可能是比较稀缺的吧,弯管它是一种采用成套弯曲设备加工进行弯曲的,其弯曲工艺分为:冷煨与热推两种方式,而且无论是哪一种机器设备及管道,大部分都会用到弯管,弯管其使用在输油、输气、输液、工程桥梁建设中都会使用到的。
本章将由昆明聚成高温弯管讲解弯管的知识以及计算下料方法。一起看看吧。
一、弯管的一般知识
弯管是改变管道方向的管件。在管子交叉、转弯、绕梁等处,都可以看到弯管。
煨制弯管具有较好的伸缩性、耐压高、阻力小等优点。因此,在施工中常被采用。
弯管的主要形式有:各种角度的弯头、U形管、来回弯(或称乙字弯)和弧形弯管等,如图1所示。
弯头是带有一个任意弯曲角的管件,它被用在管子的转弯处。弯头的弯曲半径用R表示。R较大时,管子的弯曲部分就较大,弯管就比较平滑;R较小时,管子的弯曲部分就较小,弯得就较急。
来回弯是带有两个弯曲角(一般为135°)的管件。来回弯管子弯曲端中心线间的距离叫做来回弯的高度,用字母h表示。室内采暖立支管与干管及散热器连接,管道与不在同一平面上的接点连接时,一般需采用来回弯。
U形管是成正半圆形的管件。管子的两端中心线问的距离d等于两倍弯曲半径R。U形管可代替两个90°弯头,经常用来连接上下配置的两个圆翼形散热器。
图1
弧形弯管是带有三个弯曲角的管件。中间角一般成90°,侧角成135°。弧形弯管用于绕过其它管子,在有冷热水供应的卫生设备配管时,经常采用弧形弯管。
弯管尺寸由管径、弯曲角度和弯曲半径三者确定。弯曲角度根据图纸和施工现场实际情况确定,然后制出样板,照样板煨制并按样板检查煨制管件弯曲角度是否符合要求。样板可用圆钢煨制,圆钢的直径根据所煨管径的大小选用,10-14mm即可。弯管的弯曲半径应按管径大小、设计要求及有关规定而定。既不能过大,也末虚选得太小。因为弯曲半径过大,不但用材料多,而且管子弯曲部分所占的地方也大,这样会给管道装配带来困难;弯曲半径选得太小时,弯头背部管壁由于过分伸长而减薄,使其强度降低,而在弯头里侧管壁被压缩,形成皱纹状态。因此,一般规定:热煨弯管的弯曲半径应不小于管子外径的3.5倍;冷煨弯管的弯曲半径应不小于管子外径的4倍;焊接弯头的弯曲半径应不小于管子外径的1.5倍;冲压弯头弯曲半径应不小于管子外径。
弯管时,弯头里侧的金属被压缩,管壁变厚;弯头背面的金属被拉伸、管壁变薄。弯曲半径越小,弯头背面管壁减薄就越严重,对背部强度的影响就越大。为了使管子弯曲后不致对原有的工作性能有过大改变,一般规定管子弯曲后,管壁减薄率不得超过15%。管壁减薄率可按下式进行计算:
式中A——管子弯曲后外侧母线处管壁的减薄率(%);
DW——管子外径(mm);
R——弯管的弯曲半径(mm)。
弯管时,由于管子弯曲段内外侧管壁厚度的变化,还使得弯曲段截面由原来的圆形变成了椭圆形。弯管断面形状的改变,会使管子的过流断面面积减小,从而增加流体阻力,同时还会降低管子承受内压力的能力,因此,一般对弯管的椭圆率做以下规定:管径小于或等于150mm时,椭圆率不得大于10%;管径小于或等于200mm时,椭圆率不得大于8%。
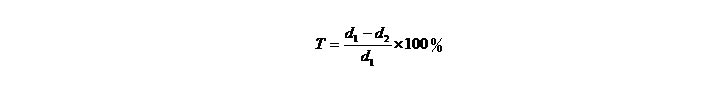
管道的椭圆率可按下式进行计算:
式中T——椭圆率(%);
d1——较大椭圆变形处的长径(mm);
d2——较大椭圆变形处的短径(mm)。
应用水、煤气钢管和直缝焊接钢管制作冷煨弯管或热煨弯管时,管子的焊缝应位于距侧面中心线45°的地方,如图2所示。以免弯曲时,管子焊缝开裂。
图2
煨制弯管一般不允许产生皱纹,如有个别起伏不平的地方,其高度亦不得大于以下规定:管径小于或等于125mm时,不得超过4mm;管径小于或等于200mm时,不得超过5mm。
二、弯管计算及下料
在进行弯管工作之前,必须先算出管子弯曲段的展开长度,并划出弯曲的始点,以便弯曲后能得到正确的半成品件。
1、90°弯管的计算
90°弯管在管道工程中应用非常广的,其弯曲半径月因制作方法不同而异。对于冷煨弯管,常取R=(4~6)D;热煨弯管取R=4D;冲压弯头或焊接弯头,常取R=(1~1.5)D。弯曲半径确定以后,即可计算出弯曲部分的下料长度,并能确定热煨时的加热长度,如图1-3所示。从图中可知,管道弯曲后,其弯曲段的外弧、内弧不是原来的直管实际长度,而只有弯管中心线的长度在弯曲前后不变,其展开长度等于原直管段长度。现设弯曲段起止端点分别为a、b,当弯曲角为90°时,管子弯曲段的长度正好是以r为半径所画圆的周长的1/4,其弧长用弯曲半径来表示,即为
弧长
由式(图3)可知,90°弯管弯曲段的展开长度为弯曲半径的1.57倍。
图3 90°弯臂
在弯制U形弯、反向双弯头或方形伸缩器时,如以设计图样要求或实际测量得出的两个相邻90°弯头的中心距尺寸进行划线煨制,那么弯成的两个弯头中心距将比原来的距离要大些,这是由于金属管材加热弯曲时产生延伸的结果。下料时,应将两个弯头中心距减去这一延伸误差,再划出第二个弯头中心线和加热长度,这样才能使两个弯头弯好后,中心线间的距离正好等于所需要的尺寸。延伸误差如图1-4所示,其数值可按下式进行计算:
式中△L——延伸长度(mm);
R——弯曲半径(mm);
a——第二个弯曲角的角度(°)。
图4 U形弯划线示意图
1-第.一个弯头 2-规定的第二个弯头中心线位置
3-实际第二个弯头中心线位置4-第二个弯头
下面以方形伸缩器为例,说明弯管划线下料计算方法。
在图5.a中,已知方形伸缩器的尺寸单位为mm,管径为DNl50,弯曲半径R=4DN=600mm。
若划线在图5b的直线上进行,并以左边端点o为起点,由图上可以看出
Oa=1500—R=1500—600=900mm
ab是弯曲部分,其弧长为
ab=1.57R=1.57 X 600=942mm
从a到d由两个反向90°弯加一直管段bc组成,直管段bc的长度应减去延伸误差△L,则
bc=2100—2R—△L
由式(图4)可知
△L=600X(1—0.00875×90)=127.5mm
那么bc=2100—2×600—127.5=772.5mm
依此类推,便可计算出各管段的下料长度,如图5b所示,划线工作便可顺利进行。
在实际工作中,煨制多个弯头组成的管件时,划线工作都分几次去完成。首先在草图上计算出各段下料长度,选取适当长度的直管;然后从一端开始逐个弯头进行制作,在前一个弯头制作好之后,再划下一个,以便处理在弯管工作中的尺寸误差。
图5 方形伸缩器的下料
二、任意弯管的计算
任意弯管是指任意弯曲角度和任意弯曲半径的弯管。这种弯管弯曲部分的展开长度可按下式进行计算:
式中L——弯曲部分的展开长度(mm);
a——弯曲角度(°);
p——圆周率;
R——弯曲半径(MM)。
此外,任意弯管弯曲段展开长度的计算,还可按图6进行。

图6
例 已知图7中弯头的弯曲角度a=25°,弯曲半径R=500mm,安装管段距转角点M的距离为91lmm,取一根直管来煨制弯头,试问应如何划线?
解 需加工的弯管端直管段长度
b=911-CR
查表1-1得,当a=25°时,C=0.2216,L=0.4363;故CR为:
0.2216R=0.2216×500=111mm
因此,得b=911-111=800 mm
弯曲部分实际展开长度
L=0.4363R=0.4363×500=218 mm
根据计算出来的直管段长度b及弯曲部分展开长度L,便可进行划线。如图7b所示。
图7 弯管计算
由上面的例子可以看出,只要弯曲角度和弯曲半径一定,利用表1—1就能很方便地进行任意角度、任意弯曲半径的弯管计算。而在热煨时,其加热管段长度一般应比弯曲长度稍长一些,以便保证弯曲部分加热均匀。增加的长度一般规定为:对于弯曲角度大的管子,可增加二倍管外径长度;对弯曲角度小的则增加弯曲长度的20%。